Дифференциальные уравнения. Практикум
11.90
BYN
Доставка в Минск:
26 Февраля (Чт) - 27 Февраля (Пт)
Доставка в регионы:
02 Марта (Пн) - 04 Марта (Ср)
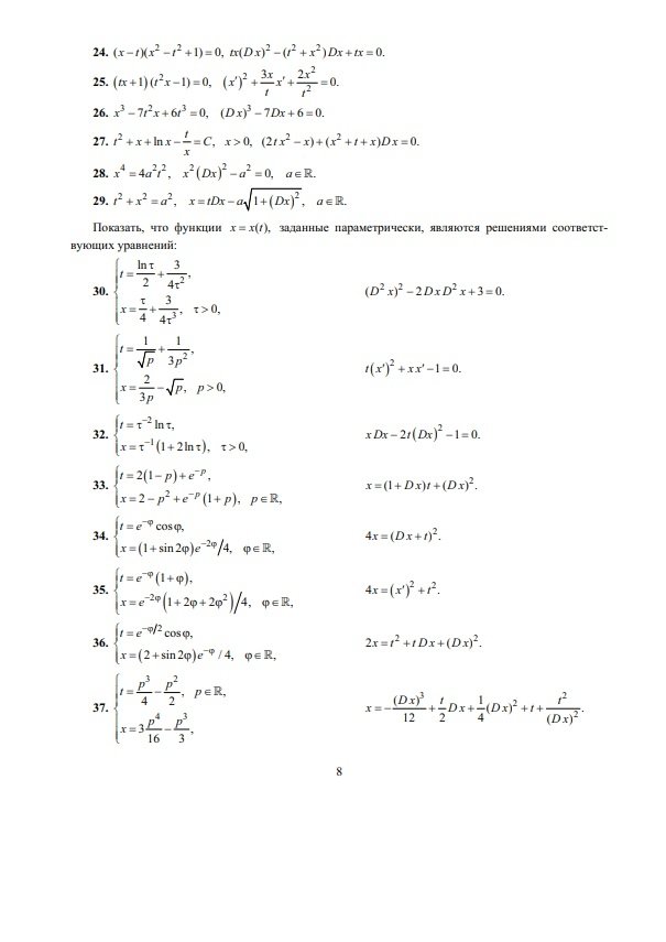
Даны краткие теоретические сведения и решения типовых задач. Задачи повышенной трудности сопровождаются указаниями. Представлено большое количество задач прикладного характера, снабженных необходимыми сведениями из соответствующих областей физики, механики, биологии, экономики. Приведены задания для контрольных и лабораторных работ. Для студентов математических, физических и экономических специальностей учреждений высшего образования. Может быть использовано аспирантами, магистрантами и студентами всех естественнонаучных специальностей.
Артикул
1315377
Издательство
Тип обложки
твердый переплет
Автор
Штрих код
9789850621115
Год
2012
Страниц
382
Язык
Русский
Размеры
205х260 мм
Вес
770 гр.
Изготовитель
РУП «Издательство "Вышэйшая школа"», РБ, г. Минск, пр. Победителей, д. 11
Назначение


Будьте первыми, кто оставит отзыв!